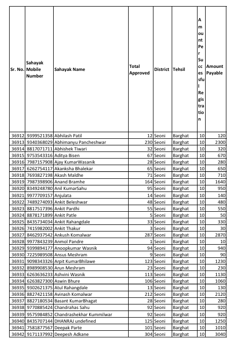
स्थानीय युवा द्वारा बनाये गए फार्मर रजिस्ट्री के भुगतान के सम्बन्ध में आयुक्त भू -अभिलेख मध्य प्रदेश का पत्र
Letter from the Commissioner of Land Records, Madhya Pradesh regarding the payment for the farmer registry created by local youth.


******

******

